摘要:本研究以宁夏罗山自然保护区温性山地草原为研究对象,旨在研究不同海拔高度下土壤种子库特征变化。通过开展种子库幼苗室内萌发鉴定试验,对 ?T1(2374m),T2(2132m),T3(1823m),T4(1566m) 四个海拔高度的土壤种子库进行研究。结果表明:不同海拔高度土壤种子库平均密度为716.67~2333.33粒 ?m-2 ,以多年生草本植物为主。随海拔升高,一年生草本植物减少,种子数量呈现不同程度的变化趋势,主要集中在 0~5cm 土层。土壤种子库的多样性存在显著差异 (P<0.05) ,不同海拔高度土壤种子库和地上植被都表现为中等不相似。各海拔高度土壤总种子库密度分别为:2333.33,866.67,1658.33和716.67粒 ?m-2 ,土壤总种子库与速效磷呈显著正相关 (P<0.05) ,与土壤温度呈显著负相关 ?P<0.05) ,因此速效磷和温度对土壤总种子库物种多样性影响最大,为制定生态恢复策略提供重要依据。
摘要:为了解西部天然草原植物真菌病害的种类及分布特征,本研究于2021—2023年的7—9月,在甘肃、宁夏、四川典型草原区采集发病植株1728份,分离培养获得2717株真菌,结合形态学和ITS序列鉴定,筛选3株代表菌株通过多基因(RPB2/TUB2/TEF1)鉴定,并测定致病性。结果表明在科水平上最多的真菌为亚隔孢壳科(Didymela-ceae)(704株),其次为暗球腔菌科(Phaeosphaeriaceae)(226株);在属水平上,Didymella,Neoascochyta和Parastagonospora真菌属具有广泛的寄主范围,分别占总体的 7%,4% 和 4% ;筛选出的3株代表性菌株MQ42,N25和N72分别为D.pomorum,N.cylindrispora和 P ,nodorum,其中 P .nodorum致病力最强;还发现了全球草原植物病害寄主新记录28种。本研究完善了国内天然草原的真菌病害数据库,对促进我国天然草原生态系统的健康和可持续发展具有重要价值。
摘要:GIGANTEA(GI)是一种植物特有的核蛋白,在耐旱耐盐性等方面具有重要作用。为探究匍匐翦股颖(Agrostis stolonifera)GI基因响应逆境胁迫,本研究选取匍匐翦股颖作为材料,针对匍匐翦股颖 GI 基因的生物学作用进行了基因克隆,生物信息学分析和亚细胞定位,同时也对其表达水平进行分析。结果表明, AsGI 基因完整编码区全长 3468bp ,编码1156个氨基酸。系统发育树表明 GI 基因编码的蛋白质与燕麦(Avenasatiua)、黑麦草(Lolium peremme)等禾本科植物的同源蛋白质的进化联系十分相近。亚细胞定位结果显示该蛋白位于细胞核。GI基因在匍匐翦股颖的地上和地下部位均有表达。GI基因在幼嫩植株中表达水平最高,在衰老植株中表达水平最低。荧光定量分析不同激素处理和胁迫处理下的表达模式,IAA,6-BA, GA3 和ABA四种激素均能促进 GI 表达量的升高,盐和干旱胁迫处理也可诱导GI基因的表达。本研究为深人探究GIGANTEA基因的作用提供参考。
摘要:低温是影响苜蓿产量和品质及其寒区推广的重要限制因子之一。茉莉酸(Jasmonate,JA)在植物生长发育和低温响应过程中具有重要作用。本研究旨在探究紫花苜蓿茉莉酸途径关键调控基因MsTIFY1Oa在抗寒防御反应中的作用。以 MsTIFY10a 过表达和野生型蒺藜苜蓿为材料,进行低温胁迫下表型、生理生化、光合能力及相关基因表达量的测定。结果表明:低温胁迫下,MsTIFY10a转基因植株的可溶性糖和可溶性蛋白含量,SOD、POD、CAT活性,叶绿素含量以及光合指标均高于野生型植株,低温响应基因MtCML10、MtNAC和MtAOC2表达量均显著上调。MsTIFY1Oa通过提升渗透调节物质含量、抗氧化酶活性和光合能力,上调抗寒基因表达,提高苜蓿的耐寒性。
摘要:为探究猫尾草(Phleum pratense)种质资源的高光效性,本研究对21份猫尾草种质生长第二年及第三年抽穗期形态指标、叶绿素含量、光合及叶绿素荧光参数进行了对比研究。结果表明,与生长第二年相比,第三年供试猫尾草除个别材料外,其余材料株高、剑叶面积、叶绿素a含量、叶绿体色素含量、蒸腾速率、净光合速率、胞间二氧化碳浓度、PSⅡ潜在光化学效率和表观电子传递效率均呈升高趋势,气孔限制值和水分利用率呈降低趋势。20项指标用主成分分析提取7个综合因子,累积贡献率为 84.526% ;以综合得分为因变量,20个指标为自变量,利用逐步回归分析筛选到评价猫尾草种质的8个关键指标。21份猫尾草种质可聚为3类,其中材料9657,9451,10676和4190均属第1类群,综合评价值较高,可作为猫尾草高光效新品种选育和改良的优异亲本材料。
摘要:本试验选用了‘飞跃’‘敖汉'和'骑士T'3个品种紫花苜蓿(Medicago satiuaL.)作为研究对象,采用随机区组设计,设定了5个灌溉水平,分别为 W1(55%W ) W2(70%W )、 W3(85%W ) W4(100% W) W5(115%W) ,其中W为常规灌水量,是土壤含水率由田间持水量(Fieldcapacity,FC)的 60%~65% 增加至 95%FC 所需的灌水量,研究了5个灌溉水平下3种紫花苜蓿生产性能及土壤酶活性的变化,并探讨了紫花苜蓿生产性能与土壤酶活性之间的相关性。结果表明:苜蓿干草产量随灌溉水平提高呈先增加后降低的趋势,苜蓿的年最高干草产量分别为15 923.92,15 418.73和 17410.25kg?hm-2 ;灌水量增加显著提高了苜蓿的株高、生长速度、一级分枝数、比叶面积、土壤蔗糖酶和磷酸酶活性;3个品种苜蓿的粗蛋白含量均在 处最低;土壤酶活性与苜蓿的生长特性、产量品质显著相关。综合分析表明,飞跃’‘敖汉’‘骑士T'的最优灌溉水平分别为 W3,W4,W3e
摘要:磷和钼是影响豆科结瘤固氮和养分获取的重要元素,明确其生长限制因素具有重要意义。本研究通过盆栽试验探究不同磷和钼水平对紫花苜蓿生长及养分吸收的影响,结果表明,低磷显著限制了紫花苜蓿的株高和生物量,而钼的添加无显著影响。磷添加使地上部生物量较无磷处理平均提高 168% 。磷和钼的协同作用影响紫花苜蓿的根系发育,供磷条件下,钼水平的增加降低了总根长和根表面积。磷添加促进了根系有机酸的分泌,提高了植株磷浓度及累积量,并促进结瘤和磷吸收率,同时降低氮磷比。而地上部氮浓度因稀释效应随磷添加降低但累积量增加。钼添加对养分吸收及结瘤无显著影响。研究表明,该草原土壤条件下,磷是紫花苜蓿生长的主要限制因子,而土壤钼已满足其需求。本研究揭示了紫花苜蓿的养分获取策略,并为豆科植物的养分管理提供科学依据。
摘要:本研究以蒲公英(Taraxacum mongolicum)、鬼针草(Bidens pilosa)和紫茎泽兰(Ageratina adenophora)为材料,以 (NH4)2SO4 和 KNO3 为氮源,设置对照 (0g?m-2?a-1) 、低氮 (2g?m-2?a-1) 、中氮 (6g?m-2?a-1) 、高氮 (12g?m-2?a-1) 4个氮处理进行氮沉降模拟试验,测定3种菊科杂草种子萌发、幼苗生长及生理指标,探究菊科杂草对氮沉降的响应规律。结果表明:蒲公英、鬼针草的发芽指标随氮浓度增加呈先增后降趋势,而紫茎泽兰的发芽势、发芽指数随氮浓度增加逐渐下降;在2和6 ig?m-2?a-1 氮添加浓度下,蒲公英、鬼针草、紫茎泽兰的株高、根长、干重等指标均得到促进,但当氮添加浓度升高到 12g?m-2?a-1 时,这些指标均受到抑制;三种植物的胞间 CO2 浓度随氮浓度增加呈先降后升趋势,而叶绿素含量的变化趋势与之相反。蒲公英、鬼针草净光合速率随氮浓度增加呈现“低促高抑"的特点,而紫茎泽兰的净光合速率在整个氮浓度梯度下均受到持续抑制。说明中低水平氮沉降可促进菊科杂草萌发与生长,助其种群扩张,而高水平氮沉降可能会限制其繁殖扩散。
摘要:为筛选民勤地区适种的紫花苜蓿(Medicago satiuaL.)品种,本研究以15个国内外优良紫花苜蓿品种为试验材料,测定越冬性能、生产性能及营养品质等17个性状指标,通过隶属函数法、聚类分析法进行适应性综合评价。结果表明:‘WL343'越冬率最高,为 94% ;‘龙牧806'根颈芽数量最多,‘甘农5号'根颈芽长度最长;‘龙牧801'可溶性蛋白含量显著高于其他品种 (P<0.05) ;‘WL343'总产量最高,为 17792.98kg?hm-2 ?LW6010 相对饲用价值显著高于其他品种 (P<0.05) 。相关性分析表明,株高、分枝数、叶茎比与干草产量都呈极显著正相关 (P<0.01) ;可溶性糖含量、可溶性蛋白含量和根颈芽数量与越冬率分别呈极显著( ?P<0.01) 和显著正相关 ?P<0.05) 。隶属函数综合效益值排序和聚类分析综合评价值分类结果一致,综合指标最优的一类紫花苜蓿品种分别是‘WL343'‘WL298"‘LW6010’‘巨能551',建议在民勤及河西走廊同类地区推广种植。
摘要:蒙古冰草(Agropyron mongolicum Keng)是我国北方地区重要的一种天然牧草,其生态价值、饲用价值及遗传改良价值较高。为明确野生蒙古冰草居群种子萌发的耐盐碱能力,本试验以6个野生蒙古冰草种质LHM、DKM、HHM、WQM、WZM和WHM为材料,采用玻璃培养皿铺滤纸的方法,研究复合盐碱的不同浓度胁迫对种子萌发期的发芽率、发芽势、发芽指数、活力指数、相对芽长、相对根长和解除盐碱胁迫恢复萌发率的影响,并通过相关分析和聚类分析对各指标进行综合评价。结果表明:在复合盐碱胁迫下,6个蒙古冰草材料各指标均受到一定的抑制,且对盐碱胁迫的响应表现出明显的差异。在浓度 60mmol?L-1 盐碱胁迫下,多个指标间呈显著或极显著正相关。不同居群的蒙古冰草耐盐碱性由强到弱顺序为LHM > HHM>DKM>WQM>WZM>WHM。本试验为内蒙古盐碱地的生态修复提供了潜在的耐盐碱种质资源。
摘要:土壤多功能性作为维持荒漠草原生态系统稳定的关键因子,其动态变化研究对揭示区域生态恢复机制具有重要科学价值。为探究荒漠草原弃耕演替过程中土壤多功能性的变化规律及其与生物多样性的关系,本研究以内蒙古呼和浩特市武川县西北部荒漠草原为研究对象,采用空间代替时间的方法,选取弃耕5年、15年和20年的样地及天然草地,分析了不同弃耕年限下土壤单一功能、多功能性的变化趋势及其与植物和微生物生物多样性的相互关系。结果表明:除水分调节功能,养分循环功能、生产功能、土壤多功能性均未在弃耕20年时恢复至天然草地水平。多元回归分析表明,弃耕恢复过程中土壤的水分调节功能、养分循环功能以及土壤多功能性主要受到植物多样性的调节,而生产功能主要受植物多样性真菌多样性的共同调节。研究结果为草地合理利用与建设,提升荒漠草原土壤功能有效措施的提出提供科学的参考依据。
摘要:为揭示意大利黑麦草(Loliummultiflorum)表面微生物对环境胁迫的响应,本研究比较了4种干旱胁迫、3种相对湿度(Relative humidity,RH)、2个温度和3个光周期对意大利黑麦草表面微生物数量的影响。结果表明,随着干旱程度的加剧,意大利黑麦草表面乳酸菌的数量呈先显著降低后又显著上升的趋势( (P<0.05) ,而霉菌和酵母菌呈显著下降的趋势 (P<0.05) 。相反,增加环境相对湿度可显著增加其表面乳酸菌数量 (P<0.05) ,但同时也显著增加了其他微生物(除酵母菌外)的数量 (P<0.05) 。除乳酸菌外, 15°C 和 25°C 条件下种植的意大利黑麦草表面微生物数量差异显著 ?P<0.05) 。此外,随着光周期的延长,其表面乳酸菌数量呈先显著上升又下降的趋势 (P< 0.05),但其他微生物数量变化不显著。综上, 90%RH,16h 光周期最适宜意大利黑麦草表面乳酸菌的生长,轻度干旱胁迫有助于降低其表面霉菌和酵母菌的数量。
摘要:荒漠化地区的生态修复是当前生态学研究的重要方向,但植物群落多样性与稳定性在长期恢复年限中的动态关系尚不清晰。本研究以毛乌素沙地为研究对象,探讨不同恢复年限下植物群落多样性与稳定性的变化特征及其与土壤因子的关系。研究表明:随恢复年限增长,Simpson多样性指数和Pielou均匀度指数显著增加,群落稳定性随恢复年限显著提升;群落稳定性与Simpson多样性指数呈显著正相关,植物多样性对群落稳定性具有重要影响;土壤有机质、全氮和土壤含水量是影响植物群落多样性和稳定性的关键因子。研究结果揭示了植物群落多样性与群落稳定性的动态关系,为毛乌素沙地生态修复及荒漠化防治提供科学依据。
摘要:草地退化严重制约了生态系统可持续发展,研究大尺度范围下不同退化阶段植物多样性与土壤养分的关系对草地恢复具有重要意义。本研究以锡林郭勒轻度、中度、重度退化典型草原为对象,通过野外调查和测定植物物种多样性及土壤养分特征,分析二者在不同退化阶段的相互关系。结果表明:随退化程度加剧,一二年生草本物种多度增加,多年生草本物种多度降低,植物群落结构发生改变,物种多样性在中度退化阶段最高;土壤养分整体水平在重度退化阶段最低。相关性分析显示,随退化程度加剧,土壤养分限制因子由氮转变为磷,物种多样性与土壤养分的关系由正相关转为显著负相关,二者变化的一致性降低。研究表明,在草原生态修复中,应加强对植被-土壤关系的关注,强化对生态系统整体结构与功能的全面监控,为科学制定草原修复管理措施提供理论依据。
摘要:为揭示不同植被群落土壤盐分分布特征及盐离子变化规律,在倒淌河湿地选取3个典型植被群落[华扁穗草(Blysmus sinocompresss)群落、马蔺(Iris lactea var.chinensis)群落、杂草群落]共72个样方,开展植被群落特征调查,并采集 0~30cm 土层 (0~10cm,10~20cm,20~30cm) 的216份土壤样品,分析土壤全盐量(Total salt content,S)、钠吸附比(Sodium adsorption ratio,SAR)、碱化度(Exchangeable sodium percentage,ESP)及8种盐离子分布特征,同时比较不同群落土壤盐化程度与养分分布。结果表明:杂草群落土壤中S,SAR,ESP显著高于马葡群落和华扁穗草群落( P<0.05) ;在检测的8种盐离子中, Na+ 和 Cl- 的含量显著高于其他离子,在土壤盐离子组成中占主导地位,其中NaC1是土壤碱化的关键驱动因子;各群落 0~10cm 土层速效钾与有效磷含量显著高于深层土壤( P< 0.05);马葡群落与杂草群落的土壤盐渍化程度已达重度水平,需要重点治理。本研究旨在解析盐离子组成、盐渍化驱动因子及养分垂直分异规律,为高寒湿地盐渍化治理与生态修复提供科学依据。
摘要:本研究以河西盐渍化草地为研究对象,基于反硝化-分解模型(Denitrification-Decomposition Model,DNDC),结合试验区连续监测数据 CO2 排放通量等数据,探讨了不同形态氮输入对盐渍化草地 CO2 排放的影响,并评估了气候变化、土壤特性和管理措施对 CO2 排放的敏感性。研究结果表明,相较于不添加氮肥(CK),不同氮源(有机氮ON、无机氮IN、混合施肥MN)添加显著增加了土壤 CO2 排放量,且生长季 CO2 排放量增加了 24.27% \~71.03% 。此外,模型评估结果显示,归一化均方根误差值在 0.117~0.221 之间, R2 值介于 0.605~0.906 之间,表明DNDC模型能够有效模拟不同氮源输入对 CO2 排放的影响。敏感性分析表明,年平均温度是影响 CO2 排放的最关键因素。而基于未来50年(2024—2073年)的气候情景模型预测表明,相较于CK,不同形态氮输入将使得 CO2 排放量增加 18.73%~54.37% 。该研究为DNDC模型的局部改良及适用性验证提供了重要参考,并为在全球气候变化背景下,河西走廊盐渍化草地减少温室气体排放提供理论支持。
摘要:为揭示内蒙古中西部荒漠草原区植物根系-土壤系统间元素转化与循环的环境响应机制,本文对荒漠草原植物根系及土壤 (0~60cm) 碳、氮、磷含量进行测定,并计算分析元素生态化学计量及区域气候要素变化特征。结果表明:植物根系C含量最高 (32.42%) 、P含量最低 (0.28% )、C:N变异系数最大;土壤C,N,C:P及N:P随土层深度增加呈先升后降趋势,土壤C:N在垂直方向上有增加的趋势;植物根系与土壤C,N,P及各环境因子间呈不同程度关联;温度、降水等气候因素为主要影响因素。综上所述,内蒙古荒漠草原区土壤有效氮含量偏低,氮元素成为制约植物生长的关键限制因素之一;同时,该区土壤生态化学计量特征在垂直方向上存在复杂性;湿润指数、年均温、年降水量等气候因素作为主导因子,主要由热量与水分再分配,改变土壤理化性质与植物生存环境,最终综合影响该区根系一土壤系统间元素循环及物质转化。
摘要:放牧是草地主要的利用方式,鼠类种群与植物群落的关系是维持草地放牧系统平衡的关键。研究布氏田鼠(Lasiopodomys brandtii)种群与栖息地植被特征的关系,不仅为鼠害防控决策提供理论依据,而且有利于典型草原草地资源的可持续利用。本研究于2018—2023年春、夏、秋3个季节利用标志重捕法对典型草原布氏田鼠种群数量进行调查,使用样方法对其植物群落进行调查,采用层次分割效应和多元回归模型分析不同季节过度放牧方式下布氏田鼠种群动态与植被特征的关系。结果显示,春季影响过牧区和禁牧区布氏田鼠种群动态的关键植物因子分别是植物密度和地上生物量,变异解释贡献达到 76.81% 和 57.66% ;夏季分别是植物丰富度 (36.32%) 和Shannon-Wiener指数 52.55% );秋季分别是植物高度( 52.04% 和均匀度指数(81. 76% 。可见,影响布氏田鼠种群季节动态的植物因子明显不同,且植物群落多样性特征与布氏田鼠种群数量均呈显著负相关。因此,提高典型草原植物群落多样性指数和均匀度指数是降低布氏田鼠危害的有效模式。
摘要:研究不同退化程度坡地草地土壤可溶性有机碳(Disolved organic carbon,DOC)变化特征对土壤碳循环具有重要意义。因此,本研究以内蒙古呼伦贝尔市靠近林缘的重度、中度退化坡地草地(后简称为"坡草地")为研究对象,通过测定退化坡草地不同坡位土壤DOC含量,结合土壤可溶性有机质(Dissolved organic mater,DOM)的光谱特征,明确不同退化程度坡草地土壤DOC变化。结果表明:草地退化降低了土壤有机碳(Soil organic matter,SOC)含量,中度退化坡草地较重度退化平均提高 48.97% ,对DOC含量没有产生显著影响。重度退化坡上DOC:SOC比例较高,稳定性较差,不利于土壤碳固存,而在坡下位置较稳定。结合荧光光谱特征发现,土壤DOM主要属于植物源输人,有少量微生物源有机质输人,腐殖化程度较弱。综上,退化程度和坡位共同影响坡草地土壤有机碳稳定性。对退化坡草地进行修复时,建议采取补播施肥和水保措施提高土壤肥力,增强土壤碳固存。
摘要:为探究放牧对典型草原地表节肢动物群落的影响,在内蒙古锡林郭勒盟阿巴嘎旗不同放牧管理草场布设147个陷阱,捕获节肢动物12O59头,属2纲12目83科,优势类群为蚁科(Formicidae)、步甲科(Carabidae)和蝗总科(Acridoidea)。禁牧(O羊单位 ?hm-2?a-1) 、轻牧(0.34羊单位 ?hm-2?a-1) 、中牧(0.69羊单位 ?hm-2?a-1) 和重牧(1.53羊单位 ?hm-2?a-1) 草场的节肢动物物种数分别为50科、66科、60科和61科。结果表明,放牧有助于提高节肢动物物种数、多度和丰富度,但会使其均匀度下降。捕食性节肢动物在轻牧草场的多样性较高,在重牧草场的活动密度较大,植食性节肢动物在禁牧草场的多样性和活动密度均最低。相关性分析表明,禁牧草场节肢动物与土壤理化性质相关性更强。总之,节肢动物对不同放牧强度的响应存在差异,可作为草原生态系统放牧管理的指示生物。
摘要:本研究基于短花针茅(Stipabreuiflora)荒漠草原建立的长期放牧试验平台,分析不同放牧强度下(对照CK、轻度放牧LG、中度放牧MG、重度放牧HG)植物营养品质变化及其与植物群落组成和土壤养分的关系。结果表明:与对照相比,重度放牧群落生物量、多样性、多年生禾草、灌木及半灌木生物量均显著降低 (P<0.05) ;轻度放牧群落粗蛋白含量显著增加了 5.13% ,重度放牧群落中性洗涤纤维、酸性洗涤纤维分别显著增加了 43.97% 和23.55% ,重度放牧粗脂肪含量显著降低了 39.16%(P<0.05) ;粗蛋白含量与多年生禾草生物量、土壤有机碳、土壤氮相关养分显著正相关,酸性洗涤纤维与多年生杂类草、灌木及半灌木生物量、土壤有机碳、土壤氮相关养分呈显著负相关。在荒漠草原,轻度放牧植物群落组成丰富、生物量高,粗蛋白含量高而纤维含量低,有利于生产力维持和牧草品质健康,是实现草地可持续利用的适宜放牧强度。
摘要:探究新疆草原常见植物分布格局及其气候影响因素,有助于促进草原的可持续发展。本研究利用最大熵模型(Maximum Entropy Model,MaxEnt)和地理信息系统,基于32种植物地理分布数据及19个生物气候因子,结合AUC值验证模型精度。研究表明,在高海拔地区,降水对牧草影响显著,如蒿叶猪毛菜(Oreosalsola abrotanoides)和博洛塔绢蒿(Seriphidiumborotalense)的分布主要受年降水量的影响,而伊犁绢蒿(Seriphidium transiliense)和新疆银穗草(Leucopoaolgae)则更多受年平均温度影响;未来气候情景预测表明,适生区面积整体呈增大趋势。例如,SSPl26情景下,骆驼刺(Alhagicamelorum)在新疆南部向西北部扩张,扩张率为 2.27% ,而穗状寒生羊茅(Fes-tucakrylouiana)在塔城、哈密北部以及克州等地有所减少,缩减率为 1.69% ;SSP245情景下,盐爪爪(Kalidiumfoliatum)向新疆北部地区扩张,扩张率为 2.22% 。大叶白麻(Poacynumhendersonii)向塔里木盆地扩增,扩张率为10.98% 。MaxEnt模型在两种气候情景下模拟精度值均大于0.85,表现出较高的可信度。本研究为新疆常见植物的可持续利用与保护提供了重要依据。
摘要:为预测草地早熟禾(Poa pratensisL.)近现代及未来气候下在全国范围内潜在的适宜分布区,为草地早熟禾的精准种植与草地生态修复提供理论基础,同时降低未来气候变暖所致经济与生态损失,本研究收集84份草地早熟禾分布点的23个生态因子数据,通过最大熵(MaxEnt)模型和ArcGIS系统,分析草地早熟禾适宜性分布的主要影响因素与潜在格局。结果表明:影响草地早熟禾分布的4个主要生态因子为人为干扰指数、海拔、最冷季节降水量、最湿月降水量。当前气候条件下,草地早熟禾的总适生区面积为 6.3036×106km2 ,高适生区面积为 1.0644×106 km2 ,主要集中于西藏、四川、青海、云南、甘肃和山西。未来气候情景下草地早熟禾适生区总面积总体呈减小趋势,SSP370情景适生区面积缩减最多,为 4.126×105km2 。本研究可为草地早熟禾种植的合理规划布局与可持续利用提供客观的理论参考基础,避免在非适生区盲目引种和扩种。
摘要:明晰三江源地区植被NPP变化的现状和驱动力,可为未来植被恢复和生态工程的动态调整提供科学依据和决策参考。本研究基于MODISNPP数据,采用趋势分析、稳定性分析、残差分析、偏相关分析及地理探测器等方法,分析了三江源地区植被NPP变化及影响因素。结果表明:2000—2023年,三江源地区总体NPP和各植被类型NPP均呈增加趋势,整体增速为 1.38g?m-2?a-1C ,在空间上呈东南部高西北部低的分布格局,其中 97.92% 的区域为NPP增加区,整体波动情况稳定。三江源地区不同区域植被NPP与气温和降水具有不同的响应关系,但气温对该地区植被NPP的影响更大。气候变化和人类活动对三江源地区植被NPP的影响均表现为正向影响,其中人类活动对植被NPP的影响在2018年以后均表现为正向影响。单因子探测中海拔和气温的平均解释力在 50% 以上,但较单因子探测而言,交互探测中降水、土地利用以及人口的解释力也均在 50% 以上。
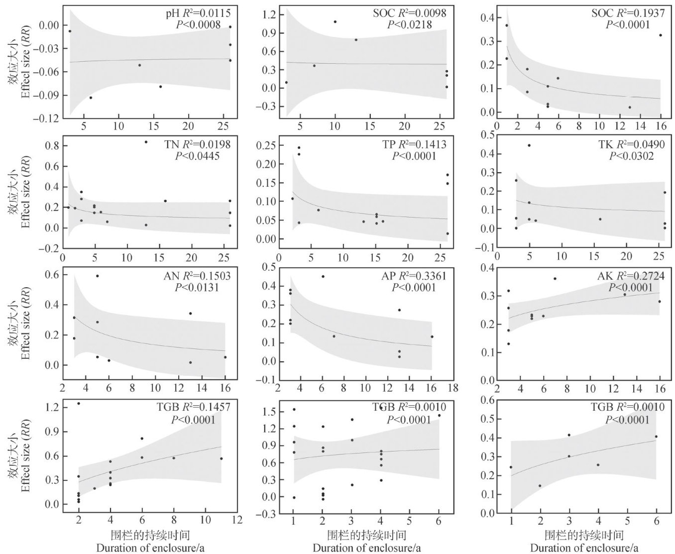
摘要:围栏封育是新疆退化草地自然恢复的主要措施,为评估其恢复效果,本研究收集了2000—2024年有关围栏封育措施应用于新疆退化草地的40篇文献,运用Meta分析对655组数据进行综合分析。结果表明:围封时长 ?2 年时,变化最显著的有土壤含水量、全碳、全磷、高度、盖度、根茎比、物种丰富度、均匀度指数和Simpson优势度指数,分别增加了 23.73% ,15.24%,23. 48% ,62.25%,32.23%,101. 42% ,16. 96% ,28. 88% 和 17.76% 。围封时长 3~ 4年间,变化最显著的有碱解氮、速效磷、速效钾、地下生物量和密度,分别增加了 29.43%,39.35%,32.61% ,49.47% 和 115.86% 。围封时长 ?5 年时,土壤容重和 pH 值分别显著下降了11. 48% 和1. 78% ;土壤有机碳、全氮、全钾、总生物量、地上生物量、鲜草和干草产量分别显著增加了 26.65%,22.59%,12.52%,68.24%,143.51%, 123% 和111. 31% 。围栏封育措施通过增加土壤养分含量、促进植被生长发育和提升生产量,对新疆退化草地恢复有积极作用。
摘要:本研究基于青藏高原746个龙胆科药用植物分布点和15个环境变量,利用优化的MaxEnt模型(参数设置:正则化系数1.6,特征组合LQPT,AUC 预测其潜在适生区,并揭示关键环境驱动因子。结果显示:年降水量(biol2)、海拔(bio20)、年平均气温(biol)、最冷月份的最低温度(bio6)、最冷季的平均气温(bioll)和最暖季降水(bio18)等6个因子累计贡献 89.2% ,其中降水主导分布格局。当代高适生区(38. 62×104km2) 集中于青藏高原东部及东南部,总适生区达1 28.59×104km2 。未来气候情景(SSP126/SSP585,2040s-2100s)下适生区呈现高海拔扩张趋势,质心向西北迁移,潜在分布带延伸至高原西部高海拔区域。模型预测显示川藏高山峡谷与横断山区将成为核心扩张区,但该区域人类活动密集且现有保护区覆盖率不足。建议扩张区域优先构建龙胆科药用植物种质资源库,以协调资源利用与生态保护的矛盾。
摘要:为掌握山东省草地资源空间分布特征及动态变化,本研究基于“二调"和“三调”、林草生态综合监测评价数据、遥感影像和经济因子,结合动态变化度、地学信息图谱和相关性分析,利用ArcGIS10.8评估草地面积梯度分布、类型组成和转化规律。结果表明山东省草地面积 2.35×105hm2 ,以低地草甸类和暖性草丛类为主,集中分布在黄河三角洲和丘陵地区。2009—2019年全省草地面积总体减少,仅鲁北滨海黄河三角洲因盐碱地治理增加。草地流人主要源于其他土地和建设用地,流出多转为林地和耕地。相关性分析显示草地面积与第一、第三产业、人均GDP及林业产值呈显著负相关 (P<0.05) ,研究表明,经济发展导致草地面积减少。近10年鲁北滨海黄河三角洲其他土地流入草地面积最多,预测该区域草地面积将随盐碱地治理有所增加。本研究为山东省草地资源保护利用及生态文明建设提供了管理决策支撑。
摘要:本研究基于1986—2021年内蒙古33个纯牧业旗县的畜牧业生产统计资料以及年平均气温数据,运用渐进性双重差分模型分析了草场产权制度改革、气候变化对牧区大牲畜养殖规模的影响。结果表明:草场产权制度改革对大牲畜养殖规模具有显著正向作用,其中,草牧场家庭承包制对大牲畜养殖规模具有正向影响,但"三权分置"改革对大牲畜养殖规模并无显著促进作用;气候变化对草场产权制度与大牲畜养殖规模之间的关系具有负向调节效应。因此,草场产权制度改革实施有其正面成效,但还需进一步完善政策以激活牧区草场产权权能,释放草牧业经济活力;同时,加强长期气候变化监测与应对,特别是针对年平均气温变化趋势,制定相应畜牧业适应策略,如引进适应性强的牲畜品种和改进养殖技术;另外,构筑草场产权制度改革与气候变化协调发展新格局,促进大牲畜养殖规模的稳定增长。
摘要:以甘南藏族自治州退化高寒草甸为研究对象,选取研究区高寒草甸近顶极植物群落构建植被恢复指数,通过对常用的7种修复措施初步效果的评价,探究不同措施对退化高寒草甸植物群落结构的影响,为退化高寒草甸修复提供技术支撑。结果表明:划破草皮、补播和划破草皮十补播措施使植物群落地上生物量、物种丰富度、群落盖度三者呈现出正向关联性,同增同减且能促使植物群落向禾莎类优势功能群演替。施肥十补播最能显著提高草地植被恢复指数( .<0.05) ,相比CK提高 105.56% 。补播、划破草皮十补播和施肥十划破草皮十补播三项措施的草地植被恢复指数不仅显著高于 CK(P<0.05) ,且植物群落结构以禾莎类优质牧草为主。其中,补播、划破草皮十补播两项措施在提高禾莎类优质牧草比例的同时,降低了毒害草在植物群落的占比。
摘要:为筛选适应内蒙古通辽地区生长的高产优质青贮玉米(Zeamays)品种,本研究选取粮饲兼用型、青贮专用型、甜玉米和糯玉米等不同类型的19个玉米品种进行引种试验,对其农艺性状、产量性状和品质性状进行综合分析。试验结果表明,中玉335'鲜草产量最高 ?78.82t?hm-2) ,且株高、绿叶数等农艺性状最优;‘DK815'的干草产量达 24.84t?hm-2 且纤维含量表现突出;‘雨禾2号'农艺性状与产量稳定性较高。灰色关联分析显示,中玉335”‘DK815'和‘雨禾2号'综合性状与"理想品种"契合度最高。相关性分析表明,鲜草产量与株高、穗位高、绿叶数呈极显著正相关关系,淀粉含量则与纤维及粗蛋白含量呈极显著负相关关系。因此,粮饲兼用型‘中玉 335? DK815'和‘雨禾2号'适宜在通辽地区推广种植。这些品种的推广对优化本地区饲草供应结构、提升养殖业效益以及推动农业可持续发展等都具有重要意义。
摘要:为了探究不同混合比例及添加剂对全株玉米(Zea mays)与饲用小黑麦(TriticosecaleWitmack)混合青贮品质的影响。本试验将全株玉米和饲用小黑麦按鲜重比 10:0(T1),8:2(T2),5:5(T3),2:8(T4) 和 0:10(T5) 并分别添加蒸馏水(CK)糖蜜(TM)、植物乳杆菌(LP)和布氏乳杆菌(LB)进行混合青贮。室温发酵 40天后,测定其营养品质和发酵品质。结果表明:混合青贮较单一青贮显著改善青贮品质 (P<0.05) ,粗蛋白质、中性洗涤纤维和酸性洗涤纤维含量随小黑麦比例增加显著升高 ?P<0.05) ,相较于CK组,TM组可溶性碳水化合物含量显著升高且酸性洗涤纤维显著降低( ?<0.05) ;乙酸、丙酸含量和 pH 值随小黑麦比例增加显著升高 (P<0.05) ,与CK组相比,LB组乙酸含量显著提高而丙酸显著降低( ?<0.05) ,TM组pH值显著降低且乳酸含量显著升高 (P<0.05) 。综上所述,混合比例为8:2并添加糖蜜可显著提升青贮品质。
摘要:为筛选适宜河西走廊半干旱区种植的紫花苜蓿(Medicago satiuaL.)品种,本研究对引进的12个紫花苜蓿品种生产性能和营养品质进行测定分析。结果表明:南首701'的干草产量最高,年干草产量为 2.08kg?m-2 ,显著高于其他品种( .P<0.05) ;不同品种在同一茬次的鲜干比差异显著( ?P<0.05) ;‘南苜7Ol'粗蛋白(Crude protein,CP)含量较高,达 25.71%DM ,显著高于‘甘农4号’‘中苜3号'和‘巨能(耐湿)’ (P<0.05) ;相对饲喂价值(Relativefeeding value,RFV)和总可消化养分(Total digestible nutrients,TDN)最高的品种为‘南首7Ol’,显著高于其他品种 ?P<0.05) ;干草产量与株高呈极显著正相关 (P<0.01) , CP 与鲜干比呈显著正相关 .P<0.05) ,RFV与分枝数和鲜干比呈极显著正相关关系 (P<0.01) ;通过加权隶属函数法综合生产性能和营养价值进行分析,发现‘南首701'表现较好,适合在该地区推广种植。
摘要:为筛选出适宜河西灌区种植的优质高产青贮玉米(ZeamaysL.)品种,本试验以5个青贮玉米品种和1个籽实玉米品种为研究对象,比较分析不同品种的农艺性状、产量、营养价值及发酵品质,并采用模糊隶属函数综合评估各品种的适应性。结果表明:各供试品种的株高、穗位高、绿叶数、穗重、单株产量等农艺性状间均差异显著( P< 0.05);品种‘五谷丰贮1号‘的鲜草产量最高,为111. 38t?hm-2 ,较籽粒型‘隆丰211'提高了 38.06% ;‘TW268'植株的持绿性最好,绿叶数达到了13.33片。在营养品质方面,青贮前‘五谷丰贮1号'的粗蛋白(Crude protein,CP)和粗脂肪(Etherextract,EE)含量最高,分别为 7.43% 和 3.31% ;青贮后,‘TW268'的相对饲喂价值(Relativefeed-ingvalue,RFV)最高,且相较于青贮前含量提高了 2.5% ;同时,青贮后的‘五谷丰贮1号'的乳酸(Lacticacid,LA)和乙酸(Aceticacid,AA)含量最高,分别达到了 4.65% 和 2.01% ,显著高于其他品种。综合评价表明,‘五谷丰贮1号'和‘TW268'综合表现均优于其他品种,适宜作为青贮品种在河西走廊地区大面积推广种植。
摘要:为研究复合微生物菌剂和化肥配施对连作玉米产量和根际细菌群落的影响,本试验设置常规施肥(CK)不同剂量CK+微生物菌剂, .CK+ 不同剂量微生物菌剂共10个处理,对玉米农艺性状与产量进行统计,并测定根际土壤细菌群落结构变化。结果表明: 100% 复合微生物菌剂和不小于 80% 化肥配施可提高籽粒百粒重 3.0% \~3.9% ,增加产量 6.4%~11.8% ,提升根际细菌Shannon指数,显著提高玉米根际土壤优势菌和变形菌门及拟杆菌门的相对丰度,改善土壤根际细菌群落结构。综上所述, 100% 复合微生物菌剂和 80% 肥料配施为最佳剂量,起到减肥增产效果,促进根际土壤微生物多样性及优势菌群丰度,改善土壤微生物群落组成。本试验可为解决玉米连作障碍提供理论依据,有助于推动农业生产中可持续发展策略的实施,保障粮食安全。
摘要:为探究柴达木盆地盐碱地土壤改良措施对燕麦(Auena satiruaL.)生长和土壤质量的影响,本研究采用完全随机区组设计,设置空白对照(CK)及 75kg?hm-2(A1) 和 150kg?hm-2(A2) 黄腐酸钾施用量处理,通过分析土壤盐碱化指标、土壤质量指数和燕麦生长指标,评价黄腐酸钾在柴达木盆地盐碱地土壤的应用效果。结果表明:施用黄腐酸钾显著降低了土壤pH值、电导率、钠吸附比 (P<0.05) ,有效降低了土壤盐碱化程度,并改变了土壤酸碱度。施用黄腐酸钾可以改善盐碱地土壤的养分状况及土壤质量指数,从而提高土壤质量,促进了燕麦地上生物量积累和根系的发育。由此可见,黄腐酸钾可作为柴达木盆地盐碱地降低盐碱胁迫、促进燕麦生长的土壤调理剂。